产品中心
Product Center

售后服务专线
021-37595596
销售电话:021-37595598
微信号:13651694567
E-mail:13651694567@163.com
QQ:10923728
网址:lhqfsfc.cn
地址:上海市奉贤区奉城镇洪庙洪朱路3060号
021-37595596
销售电话:021-37595598
微信号:13651694567
E-mail:13651694567@163.com
QQ:10923728
网址:lhqfsfc.cn
地址:上海市奉贤区奉城镇洪庙洪朱路3060号
您现在的位置是:网站首页 > 产品中心
液压压紧压滤机

结构特点(Design feature)
液压压紧自动保压压滤机采用液压装置做为压紧松开滤板的动力结构,并采用电接点压力表实现自动保压。操作简单、安全、省力,整机工作稳定,电器部分配有多种安全装置,确保操作人员安全和压滤机的正常使用。
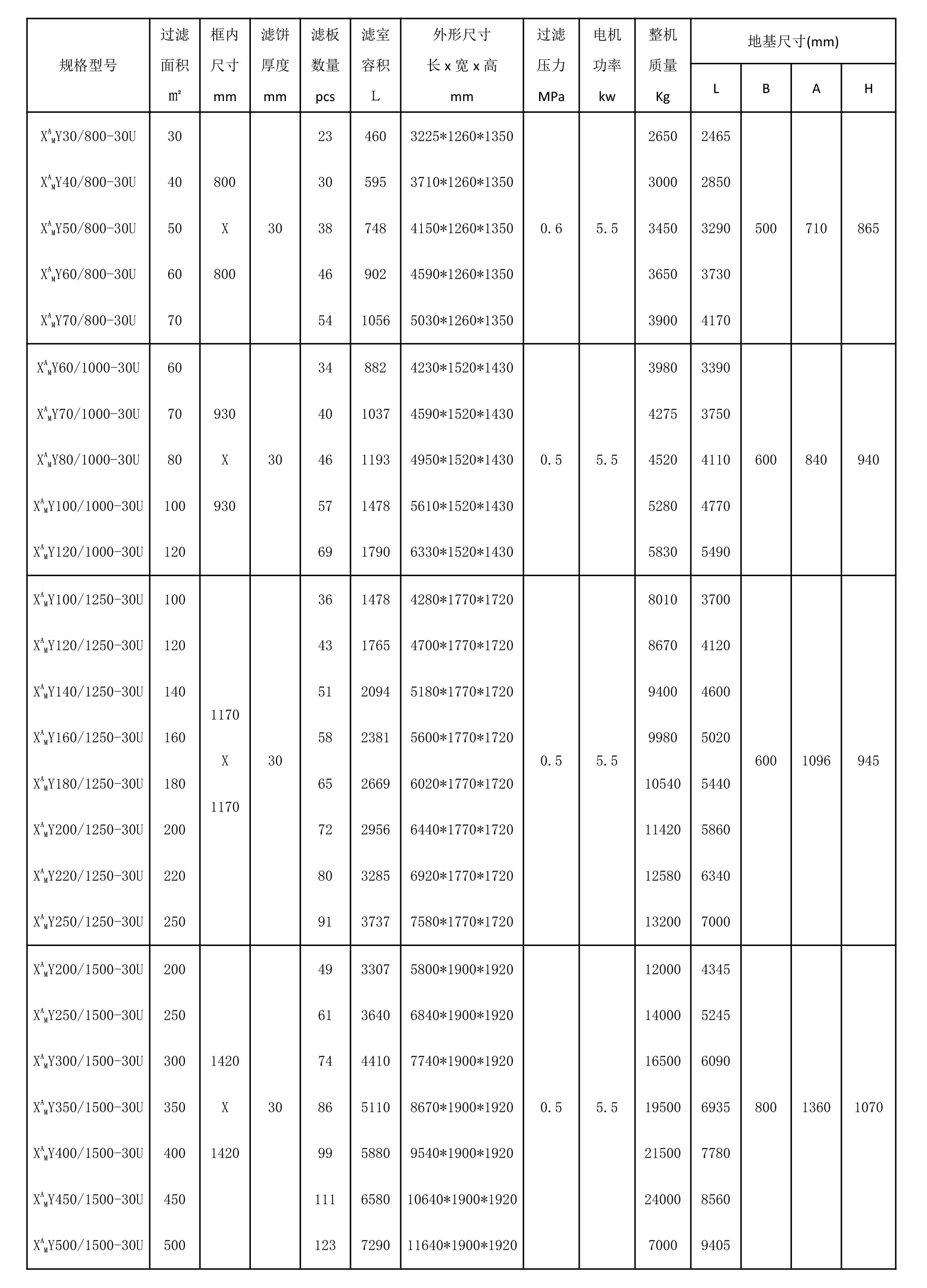
液压压紧增强聚丙烯板框式压滤机技术参数

液压压紧增强聚丙烯厢式压滤机技术参数
自动保压增强聚丙烯厢式压滤机技术参数:



